Durante los últimos años han habido muchas y nuevas ideas y otros tantos conceptos en la gestión empresarial, algunas de las cuales han conseguido mantenerse y otras fueron descartadas inmediatamente. Sin embargo, quizás uno de los principios más importantes, y que han conseguido convertirse en «ampliamente adoptados y practicados» es el de Just-In-Time. Justo a tiempo, o JIT, es una filosofía al igual que un método o una técnica. Se basa en la simple idea de que en ningún sitio de la organización sea posible la actividad hasta que no haya una necesidad de ella.
Por lo tanto no deben fabricarse productos, y no hay que pasar pedidos a los proveedores, hasta que haya un requisito o una necesidad del cliente «Downstream». Esencialmente JIT es un concepto «pull», donde la demanda en el extremo «downstream» estira de los productos hacia el mercado y detrás de estos productos el flujo de los componentes se determina también por esa misma demanda. Esto contrasta con el sistema tradicional «push» (habitual en las organizaciones europeas) donde los productos son fabricados o ensamblados en lotes, en previsión de la demanda, y se colocan en la cadena de suministro como «amortiguadores» entre las diferentes funciones y entidades.
El enfoque convencional para satisfacer los requisitos del cliente se basa en algún tipo de control de inventario estadístico que normalmente podría depender de volver a pasar un pedido cuando los niveles de inventario caen hasta cierto punto predeterminado – el llamado punto de pedido (ROP – Re-Orden Point).
Bajo este enfoque, el nivel de punto de pedido o de reorden, está predeterminado en base a la duración prevista o el tiempo de reaprovisionamiento (ver Figura).
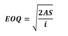
La cantidad que se pide en cada momento, podrá basarse en la cantidad económica de pedido (EOQ), que formula y equilibra el coste de mantener el inventario con los costes de generación de nuevos pedidos de reposición.
Podríamos utilizar otros métodos qu podrían ser incluir la revisión periódica de los niveles de existencias con intervalos fijos entre pedidos cuando la cantidad que se pide, la podemos determinar con referencia a un nivel de reposición predeterminado.
Hay muchas variaciones en estos temas y las técnicas han sido bien documentadas y practicadas durante muchos años por multitud de organizaciones. Sin embargo, todos ellas tienden a compartir una debilidad, es decir, que con frecuencia los niveles de existencias suelen ser superiores o inferiores a lo necesario, sobre todo en aquellos donde la tasa de la demanda puede cambiar o se presenta de forma poco constante o a «golpes». Esta última situación se produce con frecuencia cuando la demanda de un artículo es «dependiente» de la demanda de otro elemento, por ejemplo, demanda de un componente de un Reproductor DVD depende de la demanda de aparatos Reproductores DVD, o cuando la demanda es «derivada», por ejemplo, la demanda de televisores en la fábrica se determina por la demanda del minorista o de la tienda, que se deriva de la demanda final en el mercado.
Las implicaciones de demanda dependiente es posible ilustrarlas rápidamente, ya que es muy fácil imaginarse como unas habituales retiradas al por menor se pueden convertir en una situación mucho más «abultada» de demanda en la planta mediante el uso de puntos de reorden y stocks de seguridad.
Una situación similar puede producirse en un sistema de distribución multi-nivel en el que se agrega la cantidad total de cada nivel en el siguiente nivel en el sistema. La Figura demuestra lo fácil que es que esto ocurra. La característica común de estos ejemplos es que la demanda en cada nivel en el sistema logístico es dependiente de la demanda en el siguiente nivel en el sistema. La demanda se denomina «dependiente» cuando está directamente relacionada, o deriva de la demanda de otro artículo de inventario o producto.
A la inversa, la demanda para un material determinado se denomina «independiente» cuando la demanda como tal no está relacionado con la demanda de otros artículos – cuando no es una función de la demanda de otros artículos.
Esta distinción es crucial, ya que mientras la demanda independiente puede ser pronosticada con los métodos tradicionales, la demanda dependiente debe ser calculada, en base a la demanda en el siguiente nivel en la cadena logística.
Usando el ejemplo de la Figura está claro que sería inadecuado tratar de pronosticar la demanda de la planta a partir de datos basados en la estructura de la demanda combinada de los centros regionales. Más bien, tiene que ser calculada a partir de las necesidades identificadas en cada uno de los niveles anteriores. Es solamente en el punto de la demanda final, en este caso en los depósitos, donde los pronósticos se pueden hacer – de hecho, en la mayoría de los casos la demanda en el depósito sería en sí misma depende de minoristas o de otros intermediarios de la demanda, pero como esta obviamente fuera del control directo del proveedor es necesario generar una estimación de la demanda prevista.
La cantidad de pedido económico clásica (EOQ) ha tendido a canalizar nuestro pensamiento hacia la idea de que hay algo de «óptimo» en la cantidad a pedir (y por tanto de mantener en stock). El modelo EOQ llega a este óptimo, balanceando el coste de mantenimiento de inventario, con el costo de emisión de pedidos de reposición y / o los costes de las configuraciones de producción.
El EOQ puede ser fácilmente determinado por la fórmula siguiente que por otro lado ha sido ampliamente difundida en todas las bibliografias habidas y por haber:
A = Consumo Anual.
S = Coste de enviar el pedido.
i = Coste de mantener inventario.
El problema es que en esta nueva cantidad de reorden estaremos pidiendo más cantidad de inventario de lo que realmente se necesita por día durante el ciclo de pedido completo (excepto en el último día). Por ejemplo, si la EOQ fueron 100 unidades y de uso diario era 10 unidades continuación, en el primer día del ciclo tendremos un sobre stock de 90 unidades, en el segundo día de 80 unidades y así sucesivamente.
Para agravar el problema, nosotros encima (comunmente extendido) tenemos un inventario adicional en forma de «stock de seguridad», que se genera con el fin de proporcionar algún tipo de protección cuando la demanda durante el tiempo de reaprovisionamiento es mayor de lo esperado y / o hay variación en el tiempo de espera en sí.
El resultado es que nos encontramos con una gran cantidad de inventario improductivo, lo que representa una pérdida continua en capital de trabajo. En definitiva, y resumiendo, el sistema ROP y EOQ no es el adecuado, porque nos obliga a mantener niveles de inventario que no son acordes a los tiempos que corren de amplia variedad, pequeñas cantidades y gran velocidad de producción. Aquí es donde debería entrar a funcionar la filosofía del flujo continuo, la metodología Lean y los sistemas Agile.


